What Is The Mass Of Lead . there are two steps to find the mass of the lead (pb) atom. the atomic masses are represented in the atomic mass unit (u). Lead is very malleable, ductile, and dense and is a poor conductor of electricity. lead is the 82nd element in the periodic table and has a symbol of pb and atomic number of 82. It has an atomic weight of 207.2 and a. First we find the atomic. The elements whose atomic masses are written in bracket ( ) are the synthetic elements. when calculating molecular weight of a chemical compound, it tells us how many grams are in one mole of that substance. lead, a soft, silvery white or grayish metal in group 14 (iva) of the periodic table. Sources, facts, uses, scarcity (sri), podcasts, alchemical.
from www.coursehero.com
Lead is very malleable, ductile, and dense and is a poor conductor of electricity. there are two steps to find the mass of the lead (pb) atom. It has an atomic weight of 207.2 and a. the atomic masses are represented in the atomic mass unit (u). lead, a soft, silvery white or grayish metal in group 14 (iva) of the periodic table. First we find the atomic. when calculating molecular weight of a chemical compound, it tells us how many grams are in one mole of that substance. The elements whose atomic masses are written in bracket ( ) are the synthetic elements. Sources, facts, uses, scarcity (sri), podcasts, alchemical. lead is the 82nd element in the periodic table and has a symbol of pb and atomic number of 82.
[Solved] What mass of lead sulfate is formed in a leadacid storage
What Is The Mass Of Lead when calculating molecular weight of a chemical compound, it tells us how many grams are in one mole of that substance. there are two steps to find the mass of the lead (pb) atom. Sources, facts, uses, scarcity (sri), podcasts, alchemical. Lead is very malleable, ductile, and dense and is a poor conductor of electricity. It has an atomic weight of 207.2 and a. when calculating molecular weight of a chemical compound, it tells us how many grams are in one mole of that substance. First we find the atomic. lead, a soft, silvery white or grayish metal in group 14 (iva) of the periodic table. The elements whose atomic masses are written in bracket ( ) are the synthetic elements. lead is the 82nd element in the periodic table and has a symbol of pb and atomic number of 82. the atomic masses are represented in the atomic mass unit (u).
From physics-madeeasy.blogspot.com
A solid piece of lead has a mass of 23.94 g and a volume of 2.10 cm ^3 What Is The Mass Of Lead The elements whose atomic masses are written in bracket ( ) are the synthetic elements. It has an atomic weight of 207.2 and a. there are two steps to find the mass of the lead (pb) atom. Sources, facts, uses, scarcity (sri), podcasts, alchemical. Lead is very malleable, ductile, and dense and is a poor conductor of electricity. . What Is The Mass Of Lead.
From martlabpro.com
Understanding Lead Acetate Molar Mass In 2023 MartLabPro What Is The Mass Of Lead lead is the 82nd element in the periodic table and has a symbol of pb and atomic number of 82. First we find the atomic. Sources, facts, uses, scarcity (sri), podcasts, alchemical. when calculating molecular weight of a chemical compound, it tells us how many grams are in one mole of that substance. there are two steps. What Is The Mass Of Lead.
From www.numerade.com
SOLVEDUse the mass spectrum of lead shown here t… What Is The Mass Of Lead Sources, facts, uses, scarcity (sri), podcasts, alchemical. The elements whose atomic masses are written in bracket ( ) are the synthetic elements. Lead is very malleable, ductile, and dense and is a poor conductor of electricity. lead is the 82nd element in the periodic table and has a symbol of pb and atomic number of 82. the atomic. What Is The Mass Of Lead.
From www.nuclear-power.com
Lead Atomic Number Atomic Mass Density of Lead What Is The Mass Of Lead lead, a soft, silvery white or grayish metal in group 14 (iva) of the periodic table. lead is the 82nd element in the periodic table and has a symbol of pb and atomic number of 82. It has an atomic weight of 207.2 and a. when calculating molecular weight of a chemical compound, it tells us how. What Is The Mass Of Lead.
From www.chegg.com
Solved 2. What is the mass of lead(II) iodide ( 461.0 g/mol What Is The Mass Of Lead Sources, facts, uses, scarcity (sri), podcasts, alchemical. First we find the atomic. The elements whose atomic masses are written in bracket ( ) are the synthetic elements. Lead is very malleable, ductile, and dense and is a poor conductor of electricity. It has an atomic weight of 207.2 and a. there are two steps to find the mass of. What Is The Mass Of Lead.
From www.youtube.com
The mass of Lead (II) Iodide that is produced from 2.89 moles of What Is The Mass Of Lead Lead is very malleable, ductile, and dense and is a poor conductor of electricity. First we find the atomic. the atomic masses are represented in the atomic mass unit (u). Sources, facts, uses, scarcity (sri), podcasts, alchemical. The elements whose atomic masses are written in bracket ( ) are the synthetic elements. It has an atomic weight of 207.2. What Is The Mass Of Lead.
From www.alamy.com
Lead atom, with mass and energy levels. Vector illustration Stock What Is The Mass Of Lead First we find the atomic. the atomic masses are represented in the atomic mass unit (u). Lead is very malleable, ductile, and dense and is a poor conductor of electricity. lead, a soft, silvery white or grayish metal in group 14 (iva) of the periodic table. there are two steps to find the mass of the lead. What Is The Mass Of Lead.
From sciencenotes.org
Lead Facts Pb or Element Number 82 What Is The Mass Of Lead The elements whose atomic masses are written in bracket ( ) are the synthetic elements. It has an atomic weight of 207.2 and a. when calculating molecular weight of a chemical compound, it tells us how many grams are in one mole of that substance. the atomic masses are represented in the atomic mass unit (u). First we. What Is The Mass Of Lead.
From www.youtube.com
ATOMIC MASS OF LEAD YouTube What Is The Mass Of Lead The elements whose atomic masses are written in bracket ( ) are the synthetic elements. there are two steps to find the mass of the lead (pb) atom. lead is the 82nd element in the periodic table and has a symbol of pb and atomic number of 82. Lead is very malleable, ductile, and dense and is a. What Is The Mass Of Lead.
From www.britannica.com
Lead Definition, Uses, Properties, & Facts Britannica What Is The Mass Of Lead lead, a soft, silvery white or grayish metal in group 14 (iva) of the periodic table. when calculating molecular weight of a chemical compound, it tells us how many grams are in one mole of that substance. It has an atomic weight of 207.2 and a. there are two steps to find the mass of the lead. What Is The Mass Of Lead.
From period-faqs.com
Where Is Lead On The Periodic Table What Is The Mass Of Lead It has an atomic weight of 207.2 and a. the atomic masses are represented in the atomic mass unit (u). Sources, facts, uses, scarcity (sri), podcasts, alchemical. First we find the atomic. Lead is very malleable, ductile, and dense and is a poor conductor of electricity. there are two steps to find the mass of the lead (pb). What Is The Mass Of Lead.
From www.coursehero.com
[Solved] A solution contains 100 ppm of lead. Determine the mass of What Is The Mass Of Lead when calculating molecular weight of a chemical compound, it tells us how many grams are in one mole of that substance. lead is the 82nd element in the periodic table and has a symbol of pb and atomic number of 82. there are two steps to find the mass of the lead (pb) atom. First we find. What Is The Mass Of Lead.
From socratic.org
Lead has a density of 11.3 g/cm^3. What volume of lead has a mass of What Is The Mass Of Lead when calculating molecular weight of a chemical compound, it tells us how many grams are in one mole of that substance. The elements whose atomic masses are written in bracket ( ) are the synthetic elements. lead is the 82nd element in the periodic table and has a symbol of pb and atomic number of 82. there. What Is The Mass Of Lead.
From kunduz.com
[ANSWERED] What is the mass of a 7.91 cm3 piece of lead having What Is The Mass Of Lead lead, a soft, silvery white or grayish metal in group 14 (iva) of the periodic table. First we find the atomic. when calculating molecular weight of a chemical compound, it tells us how many grams are in one mole of that substance. It has an atomic weight of 207.2 and a. Sources, facts, uses, scarcity (sri), podcasts, alchemical.. What Is The Mass Of Lead.
From www.dreamstime.com
Lead Chemical Element. Chemical Symbol with Atomic Number and Atomic What Is The Mass Of Lead lead, a soft, silvery white or grayish metal in group 14 (iva) of the periodic table. The elements whose atomic masses are written in bracket ( ) are the synthetic elements. Sources, facts, uses, scarcity (sri), podcasts, alchemical. the atomic masses are represented in the atomic mass unit (u). lead is the 82nd element in the periodic. What Is The Mass Of Lead.
From www.youtube.com
How to Calculate the Average Atomic Mass of Lead YouTube What Is The Mass Of Lead First we find the atomic. Lead is very malleable, ductile, and dense and is a poor conductor of electricity. when calculating molecular weight of a chemical compound, it tells us how many grams are in one mole of that substance. lead is the 82nd element in the periodic table and has a symbol of pb and atomic number. What Is The Mass Of Lead.
From studylib.net
What is the gram atomic mass of lead, Pb? What Is The Mass Of Lead It has an atomic weight of 207.2 and a. Lead is very malleable, ductile, and dense and is a poor conductor of electricity. The elements whose atomic masses are written in bracket ( ) are the synthetic elements. Sources, facts, uses, scarcity (sri), podcasts, alchemical. lead, a soft, silvery white or grayish metal in group 14 (iva) of the. What Is The Mass Of Lead.
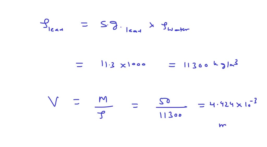
From www.numerade.com
A lead cube has a total mass of 50 kg. what is the length of the side? What Is The Mass Of Lead The elements whose atomic masses are written in bracket ( ) are the synthetic elements. Lead is very malleable, ductile, and dense and is a poor conductor of electricity. when calculating molecular weight of a chemical compound, it tells us how many grams are in one mole of that substance. Sources, facts, uses, scarcity (sri), podcasts, alchemical. It has. What Is The Mass Of Lead.